navis
인공지능 (기말 준비) 본문
1강 인공지능의 개요
문제 1: 다음 중 물리적 기호시스템 가설의 의의에 해당되는 것은?
정답: 2 ( 인간이 행하는 지능적 작업을 수행하는 프로그램 작성이 가능하다는 믿음의 근거이다. )
해설 : 물리적 기호시스템 가설이란 앨런 뉴웰과 허버트 사이먼이 “물리적 기호 시스템은 일반적인 지능적 행동을 위한 필요 충분한 수단을 가지고 있다”라고 제시한 가설로서, 인간이 행하는 지능적 작업을 수행하는 프로그램을 작성할 수 있다는 가능성에 대한 믿음의 근원이다.
문제 2: 지식을 어떻게 체계화하고 지식 베이스에 축적하며, 축적된 지식을 어떻게 이용하는가를 연구하는 학문을 일컫는 것은?
정답: 1 ( 지식공학 )
해설 : 지식공학은 지식을 체계적 수집하여 지식베이스를 구축하는 것, 축적된 지식을 이용한 추론 과정 등을 연구하는 분야를 의미하며, 이러한 역할을 하는 사람을 지식공학자라고 한다.
문제 3: 다음 중 목표 기반 지능형 에이전트에 대한 설명으로 적절한 것은?
정답: 4 ( 환경에 대한 모델을 만들어 내부적인 상태를 저장하고, 이를 이용하여 행동에 대한 결과를 예상하여 목표 달성을 위해 적합한 행동을 결정한다.)
해설 : 지능형 에이전트는 사용자를 위해 자율적으로 행동할 수 있고(자율성), 환경의 변화에 대해 시간적으로 적절하게 응답할 수 있으며(반응성), 주도권을 가지고 목표지향적으로 행동(능동성)한다. 이러한 작업은 일회성으로 끝나는 것이 아니라 지속적으로 실행(지속성)한다. 특히 목표 기반 지능형 에이전트는 환경에 대한 내부 모델을 표현한다. 외부 환경 입력에 대한 행동의 결정을 할 때 여러 가지 가능한 행동에 따른 내부 모델의 변화를 계산하여 결과를 예상하고 그 결과가 목표 달성에 적합한 것인지를 판단하여 적합한 행동을 취한다.
2강 탐색에 의한 문제풀이 (1)
문제 1: 문제표현의 요소 중 문제의 상태를 변화시키기 위한 도구를 표현하는 것은?
정답: 2 ( 연산자 )
해설 : 연산자는 문제의 어떠한 상태로부터 변화할 수 있는 다른 상태로 변환하는 도구로서, 변환 테이블이나 변환 함수 등으로 구현할 수 있다.
문제 2: 상태공간에서 문제의 표현을 위해 정의하는 것은?
정답: 4 ( 상태묘사 및 초기상태, 목표상태, 연산자 )
해설 : 상태공간에서 문제를 표현하기 위해서는 컴퓨터에서 상태를 어떻게 표현할 것인가를 정한 후, 이에 따라 초기상태와 목표상태를 정의한다. 또한 상태를 변환하기 위한 도구인 연산자를 정의한다.
문제 3: 상태공간 탐색에 의한 문제풀이에 대한 올바른 설명은?
정답: 3( 초기상태에서 목표상태에 도달하는 일련의 연산자를 찾기 위해 시행착오 방식으로 그래프 탐색을 한다. )
해설 : 상태공간 탐색에 의한 문제풀이는 초기상태에서 시작하여 목표상태에 도달할 수 있는 일련의 연산자를 찾는 것으로, 이는 상태공간 그래프에서 경로를 탐색하는 방식으로 수행한다. 알고리즘으로 명확하게 풀이가 제시될 수 없는 문제에 대해 시행착오 방식으로 탐색을 수행하며, 이때 탐색에 유용한 지식을 사용함으로써 탐색 범위를 줄임으로써 효율적인 탐색이 되도록 한다.
문제 4: 깊이우선 탐색 과정에서 다음 확장할 노드를 선택하는 기준을 올바르게 설명한 것은?
정답: 2( 가장 최근에 생성된 노드를 먼저 확장한다. )
해설 : 깊이우선 탐색에서는 탐색 진행방향(깊이 방향)으로 계속 전진하여 목표를 탐색하므로 가장 최근에 생성된 노드를 먼저 확장한다. 이때 목표에 도달할 수 없는 경로를 계속 탐색하게 될 수 있으므로 깊이제한(depth bound)을 정하여 무한정 진행하는 것을 방지한다.
문제 5: 상태공간 그래프가 다음 그림과 같을 때 너비우선 탐색으로 초기상태 A에서 출발하여 목표상태 L에 도달하는 동안 노드가 확장되는 순서는?

정답: 3( A → B → C → D → E → F → G )
해설 : 너비우선 탐색에서는 먼저 생성된 노드를 먼저 확장한다. 따라서 탐색트리는 레벨 순서에 따라 확장된다. 목표노드 검사는 노드를 확장하여 생성된 후계노드들에 대해 수행하므로, 노드의 확장은 L의 부모노드인 G까지만 하게 된다.
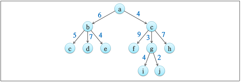
문제 6:균일비용 탐색 과정에서 탐색트리가 다음 그림과 같을 때 다음 확장할 노드는 무엇인가?
※ 트리의 가지에 표시된 숫자는 두 노드 사이의 경로비용이다.

정답: 4( j )
해설 : 출발노드 a로부터 노드 c, d, e, f, i, j, h까지 도달하는 경로의 비용은 각각 11, 13, 10, 13, 11, 9, 11이다. 균일비용 탐색에서는 그 노드까지의 경로비용이 가장 작은 노드를 확장하므로 다음 확장할 노드는 경로비용이 가장 작은(9) j이다.
3강 탐색에 의한 문제풀이 (2)
문제 1: 언덕오르기 탐색에 대한 올바른 설명은?
정답: 4 ( 현재 상태를 확장하여 생성된 후계노드들 중에서 다음 확장할 노드를 선택한다. )
해설 : 언덕오르기 탐색은 깊이우선 탐색에서와 같이 현재상태의 후계노드들 중에서 다음 확장할 노드를 선택한다. 이때 후계노드로부터 목표노드까지의 경로비용을 예측하는 평가함수 값이 가장 작은 노드를 선택한다. 후계노드 중에서 다음 노드를 선택하므로 비용이 더 낮은 노드가 있더라도 그 노드를 선택하지 않으므로 최적경로를 탐색하지는 못한다.
문제 2: 평가함수가 전역최소치에 해당되는 해를 구하기 위한 모의 담금질에 대한 올바른 설명은?
정답: 3 ( 현재상태보다 평가함숫값이 더 높은 상태로 이동할 확률은 시간에 따라 감소한다. )
해설 : 모의 담금질은 현재상태에서 이동한 차기상태 후보를 후계상태 중에서 임의로 선택한다. 이때 선택된 차기상태 후보의 평가함숫값이 현재상태의 평가함숫값이보다 작으면(ΔE = h(차기상태) - h(현재상태) < 0) 그 상태로 이동하지만, 만일 그렇지 않다면 확률 exp(-ΔE/T)에 따라 그 상태로 이동한다(이동할 확률은 ΔE의 크기가 클수록, 시간이 지나감에 따라 감소함).
문제 3: A* 알고리즘에서 OPEN 리스트에 존재하는 노드 n의 평가함수는 어떻게 정의되는가? 단, g(n)은 출발노드로부터 n까지의 경로비용, g'(n)은 g(n)의 예측비용, h(n)은 n으로부터 목표노드까지의 경로비용, h'(n)은 h(n)의 예측비용이다.
정답: 4 ( g(n)+h'(n) )
해설 : A* 알고리즘에서는 출발노드로부터 노드n까지 도달하는 경로비용과 노드n으로부터 아직 탐색이 진행되지 않은 목표노드까지의 경로비용 예측치의 합을 평가함수로 사용한다.
문제 4: A* 알고리즘에서 최소비용 경로를 탐색하려면 각각의 노드에서 항상 ㈀ 이 성립하도록 평가함수를 정의한다. 이 문장에서 ㈀에 넣을 내용은? 단, g(n)은 출발노드로부터 n까지의 경로비용, g'(n)은 g(n)의 예측비용, h(n)은 n으로부터 목표노드까지의 경로비용, h'(n)은 h(n)의 예측비용이다.
정답: 1 ( h'(n) ≤ h(n) )
해설 : 만일 항상 h'(n) ≤ h(n)이 성립한다면 OPEN에서 목표노드를 선택한 경우 OPEN에 있는 나머지 노드들의 평가함수는 현재 선택한 목표노드까지의 경로비용보다 작을 수 없으며, 실재 비용은 그보다도 더 크거나 같다. 그러므로 탐색된 경로는 최소비용 경로이다.
4강 게임트리
문제 1: 다음 최대최소 탐색트리에서 A의 평가함수와 다음으로 선택할 수는 무엇인가?

정답: 3 ( 3, D )
해설 : 최소화 노드인 B, C, D, E의 평가함수는 후계노드의 평가함수들 중 가장 작은 값이므로 각각 2, 1, 3, 2이다. 최대화 노드인 A에서는 후계노드 중 평가함수 값이 가장 큰 것을 선택하므로 D를 다음 수로 선택한다.
문제 2: α-β 가지치기에 대한 설명으로 올바른 것은?
정답: 4 ( 최대화 노드에서 한 후계노드의 가치가 v일 때 β≤v라면 그 최대화 노드의 나머지 후계노드들은 가지치기한다. )
해설 : α-β 가지치기는 최대최소 탐색트리에서 불필요한 가지를 잘라냄으로써 탐색의 성능을 높이기 위한 알고리즘이다. 최소화 노드에서 한 후계노드의 가치가 v일 때 α≥v라면 그 최소화 노드의 나머지 후계노드들은 가지치기한다. 또한 최대화 노드에서 한 후계노드의 가치가 v일 때 β≤v라면 그 최대화 노드의 나머지 후계노드들은 가지치기한다.
문제 3: 다음 최대최소 탐색트리에서 α-β 가지치기를 적용할 경우 C의 나머지 후계노드들을 가지치기할 수 있는 x의 값에 해당되는 것은?

정답: 1 ( 2 )
해설 : K의 가치가 답항 ①~④의 값 중 하나일 경우 모두 J의 가치인 1보다 크므로 F의 가치 v는 x가 될 것이다. F는 최소화 노드인 C의 후계노드로서 현재의 α가 4이므로 α≥v(즉, 4≥x)인 경우 C의 나머지 후계노드들은 더 이상 검토해 볼 필요가 없다.
문제 4: 다음 중 몬테카를로 트리 탐색에 대한 설명으로 올바른 것은?
정답: 2 ( 롤아웃을 통해 탐색 과정에서 새로 생성된 노드의 가치를 추정한다. )
해설 : 몬테카를로 트리 탐색에서 어떠한 상태에 대한 가치를 추정할 때 경험적 지식을 반영한 평가함수를 사용하는 방식이 아니라 탐색공간을 무작위 방식으로 스스로 게임을 끝까지 진행해 보는 몬테카를로 롤아웃을 하는 시뮬레이션에 의해 노드의 가치를 추정한다. 선택 전략은 탐사와 활용이 균형을 이룰 수 있도록 설계하며, 확장된 노드에서 시뮬레이션을 수행함으로써 계산된 가치는 역전파를 통해 루트 방향으로 조상노드를 따라 전달되어 조상노드들의 통계치를 업데이트한다.
5강 지식과 인공지능
문제 1: 지식기반 시스템에 대한 적절한 설명은?
정답: 2 ( 문제분야의 지식과 추론을 담당하는 추론기관이 분리되어 있다. )
해설 : 지식기반 시스템을 구성하는 주요 요소는 지식베이스, 추론기관, 사용자 인터페이스이다. 지식베이스에는 대상 분야의 지식을 포함한 문제풀이에 필요한 지식을 저장하되, 지식을 이용한 추론은 추론기관이 담당하는 것으로 분리된다.
문제 2: 다음 중 선언적 지식에 대한 설명을 모두 고른 것은?
㈀ 프로그래밍 언어로 작성된 명령어의 집합이다.
㈁ 지식 사용에 대한 제어정보가 지식 자체에 내포되어 있다.
㈂ 상호 독립적이고 단편적인 지식을 나열해 놓은 형태이다.
㈃ 별도의 추론기관이 있어, 이에 의해 추론을 한다.
정답: 4 ( ㈂, ㈃ )
해설: 선언적 지식은 상호 독립적이고 단편적인 지식을 나열해 놓은 정적인 지식으로, 지식의 적용을 위한 제어정보는 지식 자체에 표현되지 않으며, 별도의 추론기관에 의해 추론이 이루어진다.
문제 3: 다음 시맨틱 네트에서 A에 대해 구할 수 있는 속성과 그 값이 잘못된 것은?

정답: 4 ( has-part – 선루프 )
해설 : 배기량은 A에 직접 연결된 속성으로 그 값은 1,591이다. 승차인원은 ‘승용차’로부터 상속된 값인 5이며, ‘자동차’로부터 ‘엔진’을 has-part 속성으로 상속받는다. ‘선루프’는 직접 또는 상속을 통해 A의 속성 값으로 얻을 수 없다.
문제 4: 프레임을 이용한 지식표현 방법에 대한 올바른 설명은?
정답: 1 ( 절차적 지식을 표현할 수 있다. )
해설 : 프레임은 부가 프로시저를 사용하여 슬롯의 사용과 관련한 절차적 지식을 표현할 수 있으며, 특성상속을 통해 지식의 공유와 분배를 할 수 있다.
문제 5: 전문가 시스템에 대한 올바른 설명은?
정답: 2 ( 정해진 응용분야에 특화된 지식을 이용하는 지식기반 시스템이다. )
해설 : 전문가 시스템은 상식 등 일반적 지능을 구현하기 위한 시도에서 벗어나 주어진 문제 분야에서 인간 전문가의 문제해결 지식, 전략 등을 시뮬레이션함으로써 문제풀이, 의사결정을 지원하는 지식기반 시스템이다.
6강 논리에 의한 지식 표현
문제 1: p→q와 동치인 논리식은?
정답: 4 ( ~p∨q )
해설 : p→q는 p가 참이고 q가 거짓인 경우에만 거짓, 그 외의 경우에는 참인 명제이다. 이와 동일한 진리표를 갖는 명제는 ~p∨q이다.
문제 2: 다음 중 연언표준형에 해당되는 논리식은? 단, p, q, r, s는 기본명제이다.
정답: 2 ( (~p∨q∨~r)∧(p∨~s))
해설 : 연언표준형은 리터럴(기본명제 또는 기본명제의 부정)들이 논리합으로 연결되어 만들어진 절들이 논리곱으로 연결된 형태의 표준형이다. ①은 리터럴들이 논리곱으로 연결되어 만들어진 절들이 논리합으로 연결된 형태의 선언표준형에 해당되는 논리식이다.
문제 3: 다음 중 긍정논법에 의한 추론에 해당되는 것은?
정답: 1 ( p와 p→q가 참이면 q가 참이다. )
해설 : 긍정논법은 p가 참이고 p→q일 때 q가 참이라는 결론을 내리는 추론 과정을 나타낸다. 부정논법은 q가 거짓이고 p→q일 때 p가 거짓이라는 결론을 내리는 추론 과정을 나타낸다.
문제 4: P(x, y)∨~Q(x)와 Q(A)∨R(B)로부터 도출되는 결과는 무엇인가? 단, x, y는 객체변수, A, B는 객체상수이다.
정답: 1 ( P(A, y)∨R(B) )
해설 : ~Q(x)와 Q(A) 쌍을 제거한 나머지를 논리합으로 연결하여 도출절을 구한다. 이때 ~Q(x)의 객체변수 x를 Q(A)의 객체상수 A로 단일화하여 도출절에 적용함으로써 ①의 결과를 얻는다.
문제 5: 도출연역을 이용한 정리증명 과정에 대한 올바른 설명은?
정답: 1 ( 증명하고자 하는 정리를 부정하여 거짓을 이끌어냄으로써 증명한다. )
해설 : 도출연역을 위해서는 모든 공리를 연언 표준형으로 표현한다. 연언 표준형은 리터럴들의 논리합으로 표현되는 절들이 논리곱으로 연결되어 있는 형태이다. 증명하고자 하는 정리를 부정하여 공리 리스트에 추가한 후 도출연역을 통해 거짓이 도출되면 증명이 완료되는 모순에 의한 증명 방식을 사용한다.
7강 퍼지이론
문제 1: 퍼지집합 X와 Y가 다음과 같을 때 퍼지집합 연산이 올바른 것은? (단, AC는 A의 여집합을 나타낸다.)

정답: 2 ( X∪Y = {(a, 1.0), (b, 0.7), (c, 0.5), (d, 0.8), (e, 1.0)} )
해설 : X∪Y는 X와 Y의 소속함수의 최댓값으로 각 원소의 소속함수 값이 정해지며, X∩Y는 X와 Y의 소속함수의 최솟값으로 각 원소의 소속함수 값이 정해진다. ③에서 집합 Y에 대해 a의 소속함수는 0이므로 X∩Y에서 a의 소속함수 값은 0이다. 여집합은 전체집합에 대해 구한다. 이 문제에서 전체집합이 명시되지는 않았지만, Y에 (e, 1.0)이 있는 것으로 유추하였을 때 XC에는 최소한 (e, 1.0)이 포함되어 있어야 함을 알 수 있다. 또한 Y에서 a의 소속함수가 0.0이므로 YC에서 a의 소속함수는 1.0이 되어야 한다.
문제 2: 다음 중 퍼지논리에서 성립하는 등식은 무엇인가?
정답: 4 ( ~(a∨b) = ~a∧~b )
해설 : ④는 드모르간의 법칙으로, 고전논리에서와 같이 퍼지논리에서도 성립한다. ①에서 a∧0=0이다. ②와 ③은 고전논리에서는 성립하나 퍼지논리에서는 성립하지 않는 등식이다.
문제 3: “IF (수위가 높다) THEN (밸브를 연다)”라는 퍼지 규칙이 있다. 제어 대상으로부터 관측된 사실이 “수위가 상당히 높다”이며, 이에 대한 소속함수가 다음 그림과 같을 때, 이 규칙을 적용한 결과 얻는 결론의 소속함수는?

정답: 4

해설 : 관측된 사실을 조건부와 정합한 결과는 이들의 논리곱이며, 이의 최댓값인 0.75와 결론부의 논리곱을 한 것이 이 규칙에 의한 결론이다. 따라서 그 결과는 ④와 같다.
8강 컴퓨터 시각과 패턴인식(1)
문제 1: 컴퓨터 시각 시스템의 처리 단계 중 영상의 잡음을 제거하거나 영상을 개선하는 등의 처리를 통해 이어지는 처리를 하기 좋은 형태로 가공하는 단계는?
정답: 1 ( 전처리 )
해설 : 전처리란 취득한 영상을 보다 처리하기 좋은 형태로 가공하는 처리이다. 훼손된 영상을 복원하거나 영상을 개선하거나 변환하는 등의 제반 처리가 이에 해당된다.
문제 2: 픽셀 값들이 다음 그림과 같을 때 가우시안 저역통과 필터마스크 M을 적용하면 현재 180이 저장되어 있는 픽셀의 값이 어떠한 값이 되는가?

정답: 4 ( 83 )
해설 : 해당 픽셀을 중심으로 필터 마스크를 적용하면 그 값은 다음과 같으며, 이를 정수 값으로 반올림한 값을 구한다.
(59 + 2×50 + 48 + 2×54 + 4×180 + 2×50 + 52 + 2×49 + 47) / 16 = 83.25
문제 3: 픽셀 값들이 다음 그림과 같을 때 3×3 크기의 중간값 필터를 적용하면 현재 180이 저장되어 있는 픽셀의 값이 어떠한 값이 되는가?

정답: 2 ( 50 )
해설 : 해당 픽셀을 중심으로 3×3 개의 픽셀 값들을 취하면
(59, 50, 48, 54, 180, 50, 52, 49, 47) 이며,
이를 오름차순으로 정렬하면
(47, 48, 49, 50, 50, 52, 54, 59, 180) 이다.
이때 중간값은 50이므로 필터링 결과 해당 픽셀의 값은 50이 된다.
문제 4: 다음과 같은 그레이레벨 히스토그램을 갖는 영상이 있을 때, 이 영상을 이진화하기 위해 적합한 임계치에 해당되는 값은?

정답: 2 ( 64 )
해설 : 2정점 형태의 그레이레벨 히스토그램을 갖는 경우 두 정점 사이의 최솟값 부근의 그레이레벨을 임계치로 선택하는 것이 좋다.
문제 5: 다음 중 소벨 연산자의 마스크에 속하는 것은?
정답: 1

해설 : 소벨 연산자는 가로 방향의 밝기 변화를 계산하는 연산자와 세로 방향의 밝기 변화를 계산하는 연산자의 2개의 1차 미분 연산자로 정의된다. ①은 가로 방향의 밝기 변화를 계산하는 소벨 연산자이다. ②와 ③은 평활화 필터이며, ④는 라플라스 연산자에 해당된다.
9강 컴퓨터 시각과 패턴인식(2)
문제 1: 다음 중 주어진 표본 공간을 직교변환을 통해 특징요소 사이의 상관관계를 최소화하는 공간으로 변환한 후 식별에 도움이 되는 성분만으로 표현함으로써 차원 축소를 할 수 있는 기술을 일컫는 것은?
정답: 3 ( 주성분 분석(PCA) )
해설 : 주성분 분석은 주성분 축(데이터를 투영한 결과의 분산이 가장 큰 축)들로 구성된 공간으로 선형 직교변환을 한 다음, 그 중 큰 분산을 갖는 축으로 구성된 저차원의 데이터 공간으로 표현함으로써 특징 차원을 축소할 수 있게 하는 기술이다. 파즌 창은 비 매개변수 방식으로 표본집합으로부터 확률밀도함수를 추정하는 기법이다. 정규화는 패턴의 변형을 회복하여 기준이 되는 패턴으로 변환하는 처리이다. HoG는 영상의 특정 영역에서 변화의 방향에 대한 히스토그램을 구하는 방식의 특징 추출 방법이다.
문제 2: 베이즈 분류기에서 특징벡터 x로 표현되는 패턴이 클래스 C1과 C2중 어디에 속하는지 식별하고자 한다. 다음 중 C1으로 식별하는 경우는?
정답: 1 ( p(C1 | x) > p(C2 | x) )
해설 : 패턴 x가 관측되었다는 가정하에 C1 또는 C2에 속할 조건확률을 계산하여 식별한다.
문제 3: 다음 중 학습표본으로부터 확률밀도를 결정하는 방법에 대한 올바른 설명은?
정답: 4 ( 최대가능도 추정은 학습 표본 데이터 집합이 관찰될 가능성이 최대인 매개변수를 찾아 모집단의 매개변수를 주정하는 방법이다. )
해설 : 매개변수 방식은 특징공간상에서 패턴의 분포가 잘 알려진 모델을 따른다고 가정하여 모집단의 확률 모델의 매개변수를 표본집합으로부터 추정하는 방식이다. 최대가능도 추정(maximum likelihood estimation)은 확률 모델의 매개변수를 추정하는 방식으로, 학습 표본 데이터 집합이 관찰될 가능성이 최대인 매개변수를 찾는다. k - 근접이웃은 비 매개변수 방식이다.
문제 4: 패턴인식 방법 중 k - 근접이웃(k - NN)에 대한 설명으로 올바른 것은?
정답: 2 ( 미지의 패턴과 가장 가까운 k 개의 학습 표본을 구하였을 때 가장 많은 표본이 속하는 클래스로 식별한다. )
해설 : k - NN은 어떠한 벡터가 특정 클래스에 속할 확률을 그 표본과 가장 가까운 k 개의 표본 벡터 중 해당 클래스의 표본 수의 비율로 정하는 미 매개변수 방식의 분류기이다.
10강 기계학습(1)
문제 1: 지도학습에 대한 올바른 설명은?
정답: 2 ( 입력에 대한 시스템의 출력이 기대하는 출력과 같아지도록 시스템을 변화시킨다. )
해설 : 입력과 이에 대해 기대하는 출력을 학습 데이터로 제시하여 입력에 대한 시스템의 출력이 기대하는 출력과 같아지도록 시스템을 변화시키는 학습 방법이다. ①, ④는 자율학습, ③은 강화학습에 대한 설명이다.
문제 2: 다음 중 귀납적 학습에 대한 설명으로 올바른 것은?
정답: 3 ( 반복적인 관찰이나 경험을 통해 일반화된 지식을 습득하는 학습 방법이다. )
해설 : 반복적인 관찰이나 경험을 기반으로 해서 논리를 이끌어 내는 추론방법이다. 학습은 제공된 학습 표본들을 대상으로 이루어지는데, 이를 일반화하는 형태로 학습을 함으로써 입력이 학습에 사용된 표본 중 일치하는 것이 없더라도 적절한 판단을 내릴 수 있다.
문제 3: 결정트리의 학습에서 어떠한 노드를 분할하는 경우는?
정답: 1 ( 노드의 불순도가 높은 경우 )
해설 : 불순도는 어떠한 노드에 서로 다른 클래스에 속하는 학습표본들이 얼마나 섞여 있는가를 나타내는 것으로, 불순도가 낮을수록 특정 클래스에 속하는 학습표본들이 집중적으로 들어 있음을 나타낸다.
문제 4: 결정트리 학습에 대한 설명으로 올바른 것은?
정답: 4 ( 엔트로피나 지니 지수 등이 불순도 계산에 사용된다. )
해설 : 결정트리는 분할정복 방식으로 특징공간을 분할한다. 이때 어떠한 노드에 분류되는 표본 부분집합의 불순도가 높으면, 즉, 여러 클래스의 표본이 섞인 정도가 높으면 노드를 분할한다. 불순도의 계산에는 엔트로피나 지니 지수 등이 활용될 수 있다. 이러한 분할 과정을 반복하면 리프로 갈수록 불순도가 낮아지며, 리프는 불순도가 0(또는 정해진 임계치 미만)이다. 루트 노드의 불순도가 0이면 모든 학습 표본이 하나의 클래스만 있는 경우며, 일반적인 분류 문제에서는 불순도가 0이 되지 않는다. 다수의 클래스로 분류하는 문제의 경우 루트는 전체 특징공간을 포괄하므로 불순도가 높다.
11강 기계학습(2)
문제 1: 다음 중 선형회귀에 대한 적절한 설명은?
정답: 2 ( 오차 제곱의 평균이 최소가 되도록 선형가설을 학습한다. )
해설 : 선형회귀는 독립변수에 대한 종속변수의 관계를 선형(1차) 방정식으로 표현한다. 오차 제곱의 평균(MSE)이 최소가 되도록 경사하강법을 적용하여 학습을 진행할 수 있다. ③과 ④는 로지스틱 회귀에 대한 것이다.
문제 2: 경사하강법으로 비용함수를 최소화하도록 학습시키는 과정에 대한 올바른 설명은?
정답: 3 ( 비용함수 기울기의 음의 방향으로 계수를 변화시킨다. )
문제 3: 다음 중 로지스틱 회귀를 이용하여 학습할 수 있는 것은?
정답: 4 ( 독립변수의 값에 따라 종속변수가 0 또는 1이라는 값을 낼 수 있는 가설을 학습한다. )
해설 : 로지스틱 회귀는 독립변수에 따라 종속변수가 두 클래스 중 하나의 유형을 나타내는 값을 낼 수 있도록 한다. 만일 3개 이상의 클래스로 구분하려고 할 때는 다항 로지스틱 회귀를 사용한다.
문제 4: 다항 로지스틱 회귀에서 선형 판별함수의 값들을 0부터 1 사이의 값으로 압축하기 위해 사용하는 것은?
정답: 3 ( 소프트맥스 함수 )
해설 : 소프트맥스 함수는 로지스틱 함수를 일반화한 것으로, N개의 입력 값을 각각 0부터 1 사이이며 총 합이 1인 값으로 변환한다. 교차 엔트로피는 로지스틱 회귀 등의 학습에서 비용함수로 사용된다.
문제 5: k-평균 군집화 알고리즘에서 어떠한 표본 부분집합이 특정 평균벡터에 가장 가까운 것으로 분류되었을 때 어떠한 처리를 하는가?
정답: 1 ( 평균벡터의 위치를 그 표본 부분집합에 속하는 표본들의 평균위치로 업데이트한다. )
해설 : k-평균 군집화에서는 학습표본 집합 내의 각각의 학습표본을 k개의 평균벡터 중 가장 가까운 것으로 분류한다. 그 다음 각각의 평균벡터에 대해 그 평균벡터와 가장 가까운 것으로 분류된 학습표본들의 평균을 구하고, 이 값으로 평균벡터를 업데이트한다. 이 과정을 평균벡터가 적절한 위치에 수렴할 때까지 반복한다.
12강 신경회로망(1)
문제 1: 신경회로망의 특성을 올바르게 설명한 것은?
정답: 3 ( 정보는 신경연접에 분산 저장된다. )
해설 : 신경회로망은 단순한 연산기능을 갖는 많은 수의 뉴런들이 방대한 연결을 유지하며 대단위 병렬처리 방식으로 동작한다. 정보는 학습 과정을 통해 신경연접에 분산 저장되며, 일부 뉴런에 고장이 발생해도 전체 시스템의 성능이 급격하게 저하되지 않는 결함내성을 갖는다.
문제 2: 다음 중 라벨이 지정되지 않은 큰 규모의 학습 표본집합과 비교적 작은 규모의 라벨이 지정된 학습 표본집합을 사용하는 학습 방법은?
정답: 2 ( 준지도학습(semi-supervised learning) )
해설 : 라벨이 지정된 학습 표본집합을 사용하는 지도학습과 라벨이 지정되지 않은 학습 표본집합으로 학습하는 자율학습과는 달리, 준지도학습은 라벨이 지정되지 않은 큰 규모의 학습 표본집합과 라벨이 지정된 소규모의 학습 표본집합을 이용한다.
문제 3: 프랭크 로젠블랏이 제안한 퍼셉트론 모델에서 뉴런의 활성함수로 사용하는 것은?
정답: 4 ( 하드 리미트 )
해설 : 퍼셉트론은 입력이 음인 경우는 0, 그렇지 않으면 1을 출력하는 하드 리미트 함수를 활성함수로 사용한다.
문제 4: 다음 중 단층 퍼셉트론으로 학습할 수 있는 결정경계의 형태는?
정답: 1 ( 선형 )
해설 : 단층 퍼셉트론은 각각의 입력 연결가중치의 곱과 바이어스를 모두 더한다. 이것은 선형 함수이며, 이 값이 0인 곳을 기준으로 출력이 0과 1로 구분된다. 그러므로 단층 퍼셉트론의 결정경계는 선형이다.
13강 신경회로망(2)
문제 1: 다음 중 오차역전파 모델에 대한 설명으로 올바른 것은?
정답: 4 ( 은닉층을 포함하는 다층 퍼셉트론을 학습시킬 수 있다. )
해설 : 오차역전파 모델은 은닉층을 포함하는 다층 퍼셉트론을 학습함으로써 1개의 선형함수로 학습할 수 없는 결정경계를 학습할 수 있다. 학습 데이터는 입력 벡터와 출력 벡터의 쌍으로 구성되는 지도학습을 한다. 뉴런의 활성함수는 시그모이드와 같이 미분 가능한 함수를 사용한다.
문제 2: 경사하강법 적용 과정에서 이전 단계의 연결가중치 변화량을 현 단계에서 반영하기 위한 비율을 나타내는 것은?
정답: 1 ( 관성항(모멘텀) )
해설 : 관성항은 경사하강법 적용 과정에서 이전 단계의 연결가중치 변화량을 현 단계에서 반영하기 위한 비율이다. 연결가중치가 진동하듯 변화하여 수렴이 늦어지거나 적절한 값으로 수렴하지 못하는 문제를 개선할 수 있다.
문제 3: 자기조직화 지도 모델에서 학습벡터 x에 대한 승자 뉴런의 연결가중치 벡터가 w일 때 어떻게 학습이 이루어지는가?
정답: 3 ( x에 가까워지도록 w를 조정한다. )
해설 : 자기조직화 지도 모델에서 학습벡터 x가 입력되면 이에 대한 승자 뉴런과 그 뉴런을 중심으로 정의된 이웃집합에 속하는 뉴런들의 연결가중치 벡터 w를 x에 가까워지도록 조정한다.
14강 심층학습(1)
문제 1: 다음 중 딥러닝에 대한 설명으로 올바른 것은?
정답: 4 ( 합성곱 신경망(CNN)은 동물의 시각 피질의 개념을 기반으로 설계된 신경망 모델이다. )
해설 : 딥러닝은 입력층과 출력층 사이에 다수의 은닉층이 연결된 신경망의 학습을 위한 모델로서, 기존의 신경망 모델이 가지고 있는 과적합(overfitting) 문제와 경사 소멸(vanishing gradient) 문제를 개선할 수 있는 학습 알고리즘을 활용한다. 제한 볼츠만 머신은 자율학습 방식으로 학습표본 집합으로부터 자동으로 특징 추출기를 구성하는 순환 신경망이며, 합성곱 신경망(CNN)은 동물의 시각 피질(visual cortex)의 개념을 기반으로 설계되어 컴퓨터 시각과 관련한 응용에 많이 적용되는 딥러닝 모델이다.
문제 2: 다음 중 특정 학습 데이터 집합에 지나치게 의존적으로 학습함으로써 사용된 학습 데이터 집합에 존재할 수 있는 에러나 잡음이 학습에 반영되어 성능이 저하되는 문제를 나타내는 것은?
정답: 1 ( 과적합(overfitting) )
해설 : 특정 학습 데이터 집합에 지나치게 의존적으로 학습함으로써 학습 대상의 일반적 특성에 맞는 적절한 학습을 하지 못하게 되어 성능이 저하되는 문제를 과적합 문제라고 한다. 경사 소멸 문제는 경사하강법을 출력층에서 입력층 방향으로 적용하는 과정에서 시그모이드 함수의 미분이 반복적으로 곱해짐에 따라 매우 작은 값이 되어 연결가중치의 값이 변화하지 못하게 되는 문제를 의미한다.
문제 3: 합성곱 신경망(CNN)을 구성하는 각 단계의 역할을 설명한 것으로 옳은 것은?
정답: 2 ( 통합층 : 이전 단계로부터의 입력을 서브샘플링(subsampling)하여 축소된 규모의 출력을 만드는 단계 )
해설 : 합성곱층은 입력에 대해 필터링을 하여 특징을 검출하는 역할을 하고, 통합층은 이전 단계로부터의 입력을 서브샘플링(subsampling)하여 축소된 규모의 출력을 만든다. ReLU층은 뉴런의 비선형 활성함수인 ReLU를 적용하는 층이다. 완전연결층은 분류기의 역할을 담당하게 되며, 각 클래스당 1개의 출력 뉴런이 존재한다.
문제 4: 합성곱 신경망(CNN)에서 32×32크기의 3채널 입력에 대해 10개의 3×3 필터를 이동간격 2로 적용하도록 구성하였다. 패딩은 사용하지 않았다. 이 층의 출력은?
정답: 4 ( 15×15 크기의 10채널 출력 )
문제 5: 합성곱 신경망(CNN)의 어떠한 층에서 32×32 크기의 4채널 입력으로 10개의 5×5 필터를 적용함으로써 출력을 만들어 내려고 한다. 각 필터에는 바이어스를 포함한다. 이 단계에서 학습해야 할 파라미터의 수는 몇 개인가?
정답: 1 ( 1,010개 )
해설 : 한 개의 필터는 5×5이고 입력의 채널 수가 4개이므로 100개의 필터계수(연결가중치)와 1개의 바이어스가 학습되어야 한다. 이러한 필터를 10개 사용하므로 총 1,010개의 파라미터를 학습해야 한다.
15강 심층학습(2)
문제 1: 신경회로망의 학습 시간 및 안정성을 개선하기 위해 다음 층에 전달할 입력의 분포를 조정하는 처리에 해당되는 것은?
정답: 1 ( 배치 정규화 )
해설 : 딥신경회로망의 학습 시간 및 안정성을 개선하기 위해 학습 과정에서 미니배치의 평균과 분산을 정규화하는 처리를 배치 정규화라고 한다. 학습 과정에서 적절한 확률에 따라 뉴런을 무작위로 선택하여 일시적으로 학습에 배제하는 기술이고, 합성곱은 CNN 모델에서 입력을 필터링하는 처리이다. ReLU는 뉴론의 활성함수 중 하나이다.
문제 2: 다음 중 드롭아웃에 대한 설명으로 올바른 것은?
정답: 3 ( 학습 완료 후 테스트 단계에서는 모든 뉴런을 사용한다. )
해설 : 드롭아웃은 매 학습단계에서 정해진 확률에 따라 새로 선정하며, 학습이 완료된 후 테스트 단계에서는 모든 뉴런이 사용된다. 이때 1-p의 확률로 드롭아웃이 적용된 층의 뉴런의 출력에는 드롭아웃된 비율을 고려하여 p를 곱한다.
문제 3: 다음 중 ResNet에 대한 설명으로 올바른 것은?
정답: 4 ( 스킵 연결을 포함하는 잔여 블록(residual block)을 사용하여 깊은 심층망의 학습이 잘 이루어지게 하려는 것이다. )
해설 : ResNet은 피드포워드 신경망 구조로서, 스킵 연결을 포함하는 잔여 블록으로 구성된다. 심층 신경망의 깊이가 매우 깊어질 경우 학습 오류가 증가하는 문제를 개선하는 효과를 얻을 수 있다.
'방송통신대 컴퓨터과학과' 카테고리의 다른 글
| JAVA (기말 준비) (1) | 2024.05.26 |
|---|---|
| 알고리즘 (기말 준비) (0) | 2024.05.26 |
| 운영체제 (기말 준비) (0) | 2024.05.26 |
| 데이터베이스 (기말 준비) (0) | 2024.05.26 |
| 운영체제 14강 (운영체제 보안) (0) | 2024.05.20 |